Unser Beitragsarchiv der letzten Jahre

Auf diesen Seiten findet Ihr 552 Berichte / Artikel sortiert nach Monaten und Jahren.

Treffen & Teilemärkte
897

Capri trifft Manta trifft Capri

Zur Mittagszeit waren rund 150 Capri und Manta am letzten Samstag im April bei Mo´s Bikertreff in Krefeld anzutreffen. Mehr als 60 Treffen unter den verschiedensten Mottos gehen in diesem Jahr be weiterlesen..

Treffen & Teilemärkte
601

Klassikertage waren klasse

Dreimal II. Bei den Klassikertagen in Hattersheim stand bei dem von Elke und Gerhard Weinfurter erneut organisierten Capri-Auftritt diese Baureihe aus Anlass ihres 50. Geburtstags im Fokus. Natürlic weiterlesen..

Treffen & Teilemärkte
555

Zechen des Ruhrgebiets im Blick

Startpunkt Schacht Franz Haniel in Bottrop. Jacqueline Trick machte dieses Bild. Für einen möglichst guten Blickwinkel erklomm sie einen Gewächskübel. Lars Kessel sicherte sie dabei ab. „Wie wäre weiterlesen..

Messen
694

Erstbesuch in der Klassikwelt

Wiederholt hatten meine Frau Elke und ich vor, die Messe Klassikwelt Bodensee in Friedrichshafen zu besuchen. Zur Umsetzung kam es leider bisher nicht. Oft lag es an der Terminüberschneidung mit den weiterlesen..

Medienberichte
1125

Capri auf „Wachstumskurs“

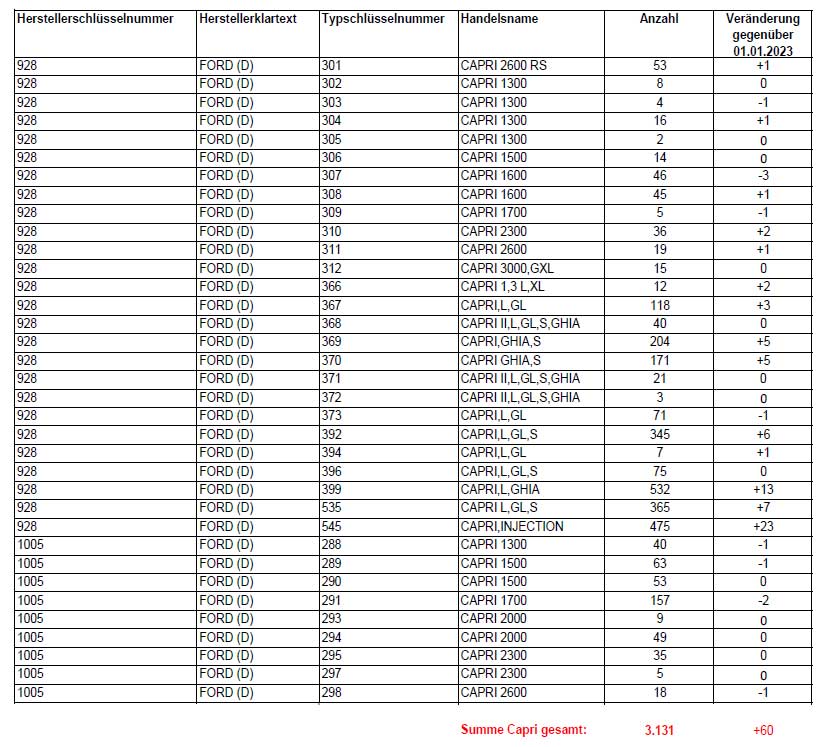
Kraftfahrtbundesamt registrierte für das Jahr 2023 erneut ein Plus Mehr als 3.100 Capri hat das Kraftahrtbundesamt am 1. Januar 2024 registriert. CCD-Beisitzer Jörg Walter hat die Zahlen zusammengetr... weiterlesen..

Capri Überraschung
550

Überraschung im Märkischen Kreis

2023 haben wir viele Menschen mit Capri-Überraschungen glücklich gemacht. Guido Verse war gleich zweimal in dieser Sache unterwegs. Hier ein Bericht aus dem letzten Oktober. Schon Ende September ha weiterlesen..

Messen
483

Capri - extrem umgebaut

Walter Winkler präsentierte sich auf der letztjährigen Essen Motor Show. Es ist bereits ein paar Tage her. Bereits Anfang Dezember 2023 fand in Essen wieder die traditionsreiche Motor Show statt. S weiterlesen..

Medienberichte
693

„Herrhausen - Der Herr des Geldes“

„Herrhausen - Der Herr des Geldes“ ist ein Fernsehzweiteiler der ARD, der am 1. und 3. Oktober im Hauptprogramm des Senders zu sehen ist. In der ARD-Mediathek gibt es die Filme als vierteilige Ser weiterlesen..

Sonstiges
663

Ein Capri-Quartett wäre möglich

Capri auf Quartettkarten aus zeitgenössischen Spielen. Wir wollen bei Interesse nun ein Capri-Quartett entstehen lassen. Kleine Träume aus Kindertagen im Taschenformat. Bilder von Traumautos, gespi weiterlesen..

Treffen & Teilemärkte
758

Ende einer Ära – Tschüss Autokino Köln:

Am 31.10.2024 schließt das Kölner Auto-Kino für immer seine Pforten. Vorher treffen sich noch einmal zwei Autoikonen der goldenen Kino Ära: „Capri meets Manta“ Samstag, 26.10.2024 Einlass ab 17 weiterlesen..

Capri MK I [Bj. 68 - 73]

Capri MK I

Capri MK II [Bj. 74 - 77]

Capri MK II

Capri MK III [Bj. 78 - 86]

Capri MK III