Kraftfahrtbundesamt registrierte für das Jahr 2024 erneut ein Plus
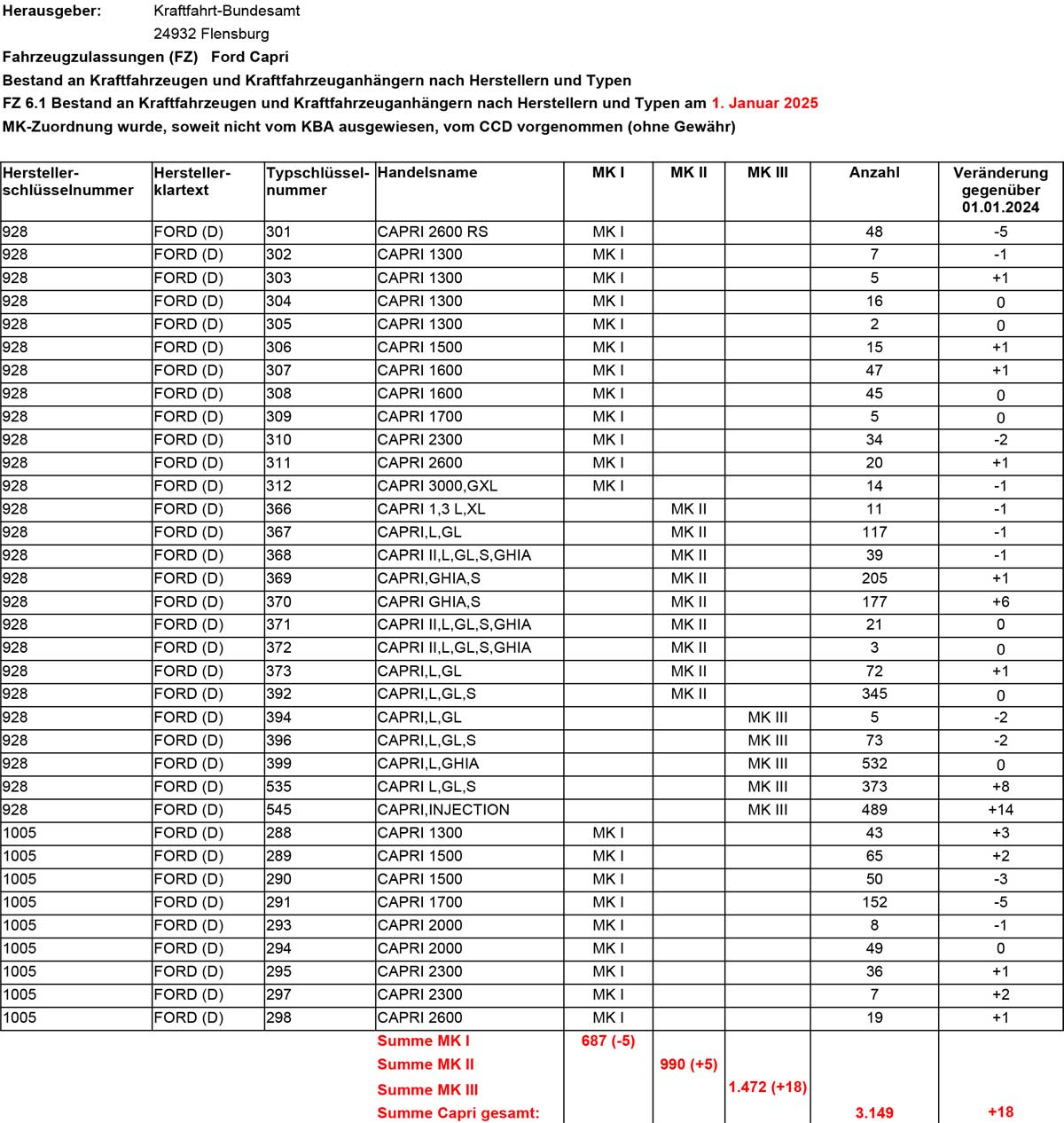
Knapp 3.150 Capri hat das Kraftfahrtbundesamt am 1. Januar 2025 registriert. CCD-Beisitzer Jörg Walter hat die Zahlen auch in diesem Jahr zusammengetragen.
Exakt 3.149 Fahrzeuge waren zu Jahresbeginn in Deutschland zugelassen. Erfasst werden Autos mit regulärer Zulassung, mit Saisonkennzeichen, mit H-Kennzeichen sowie mit der Kombination aus Saison und H. Damit stieg die Zahl der in Flensburg registrierten Capri innerhalb des Jahres 2024 um 18 Exemplare, darunter allein 14 Injection.
Nicht erfasst werden in der Statistik jene Fahrzeuge, die mit einem 07-Kennzeichen bewegt werden, da diese im eigentlichen Sinne nicht angemeldet sind. Hier darf für sich jeder spekulieren, wie viele Capri wohl insgesamt über deutsche Straßen rollen (könnten).
Und noch mehr Spekulation: wie viele Capri ohne „Fahrerlaubnis“ schlummern wohl in Deutschlands Garagen, Scheunen, Hallen oder unter Hecken? Wie viele einsatzfähige Exemplare sind darunter, wie viele Teileträger? Nicht ermittelbar, Fakt ist: der Capri bleibt weiter auf „Wachstumskurs“.
[Text: Jörg Walter - Herausgeber: Kraftfahrt-Bundesamt, 24932 Flensburg]






